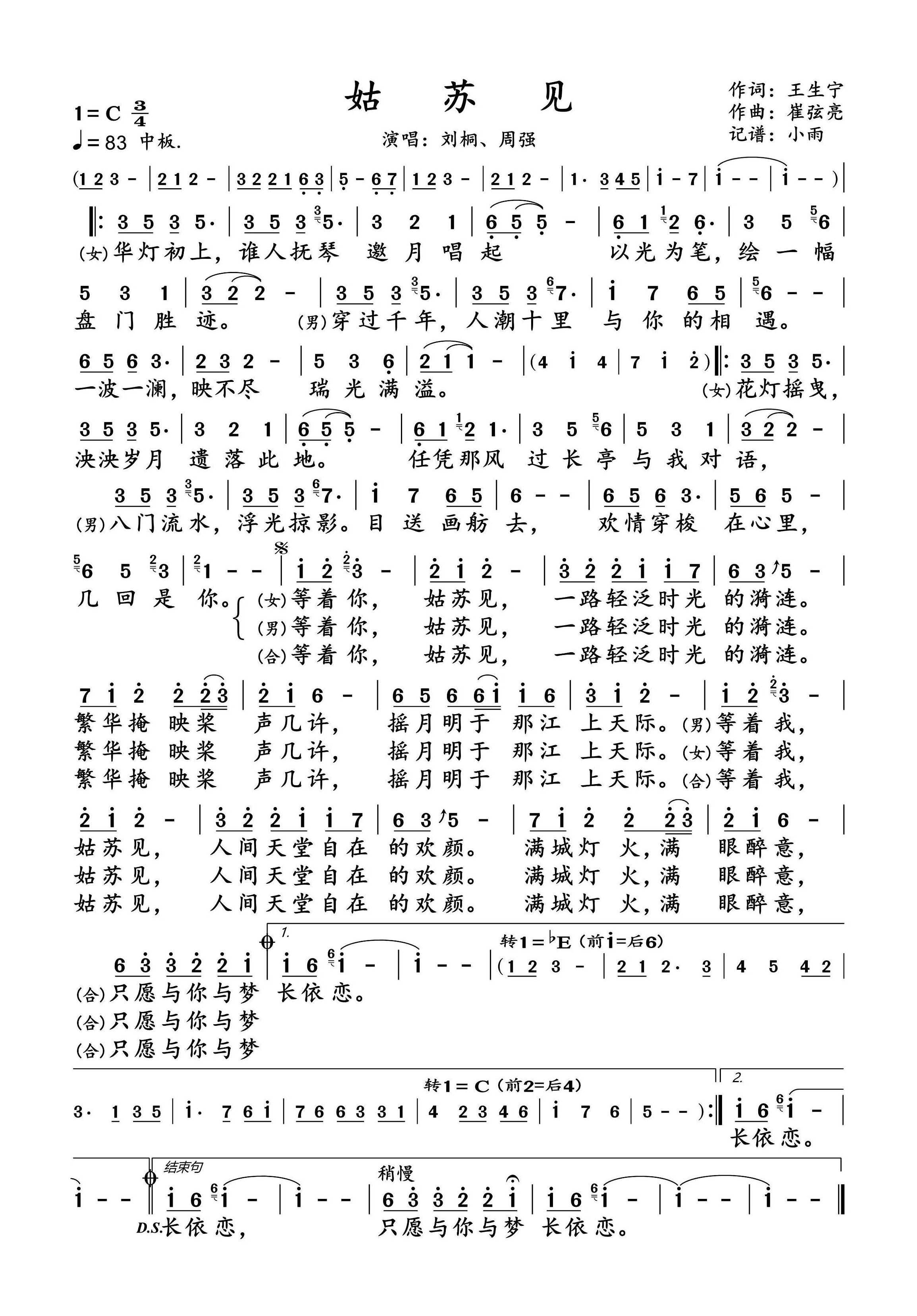
刘桐/周强《姑苏见简谱》
日期:2024-03-12 10:00:02
![]()
这是一首由第七城市制谱,格格深情演唱的歌曲,以云在水上、你在心上为描绘,歌词中传达了“爱的人已到尽头”,却有一颗守望之心。在分手后,明知爱仍在心间,却无法相见。歌中表达云朵理解的深情,描绘了感情中总有一人为你奋不顾身,宛如降妖除魔。这首歌承载了三大元素:姑娘、

本文标题 《刘桐/周强《姑苏见简谱》》,网址:https://www.21qupu.com/jianpu/26614.html
《刘桐/周强《姑苏见简谱》》内容来自于互联网,不能保证内容的准确性与完整性,仅供学习交流欣赏,请勿用于其它用途,内容版权归原作者及来源网站所有,如有侵犯到您的权益请来信告知,我们将及时删除。
